Graduate Thermodynamics

 
         
 
 
  The textbook for the class is John M. Prausnitz, Molecular Thermodynamics of Fluid-Phase Equilibria  
 
  Exercises to try:   Resources:          
                 
  Homework # 1   Heat of Formation for Several Compounds    
  Homework # 2 Heat Capacity Spreadsheet    
  Homework # 3 Van Der Waals EQS    
  Homework # 4 Partial Derivatives    
  Homework # 5 Redlich-Kwong and Peng-Robinson Equations of State    
  Homework # 6 Extended Pitzer Correlation    
    Vapor Pressure from VDW Equation    
  Other Stuff: Some Antoine Constants in PDF format    
  Example Exam I - solution Antoine Equation and Constants in Excel    
  Example Exam II - solution Methane and Nitrogen PH diagrams - Inversion Point    
  Example Final -solution Converting from V Explicit to P Explicit Equations for EOS    
  Exam II Problem II   Method of Carlson and Colburn      
      SmithVanNess 8.18, 8.19, and 8.20 Excel Example      
      Liquid-Liquid Equilibrium Double Tangents by Hand      
      Liquid-Liquid Equilibrium Spreadsheet Example      
      Regular and VanLaar Miscibility Limits      
      Margules 3-suffix Miscibility Limits      
      Universal Constants      
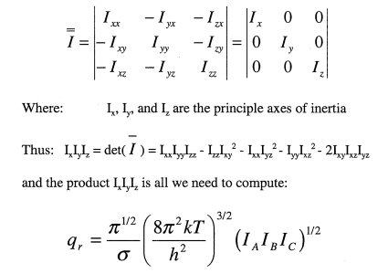
      Useful Equations from Statistical Thermodynamics      
      Moment of Inertia Calculations